Weighted Product (WP) adalah keputusan analisis multi-kriteria dan merupakan metode pengambilan keputusan multi kriteria. Seperti semua metodemetode lainanya, WP adalah himpunan dari alternatif keputusan yang dijelaskan dalam istilah beberapa kriteria.
Metode perkalian atau metode WP ini berbeda dengan metode SAW dalam perlakuan awal terhadap hasil penilaian atribut keputusan. Dalam metode WP tidak diperlukan manipulasi matriks karena metode ini mengalikan hasil penilaian setiap atribut . Hasil perkalian tersebut belum dibandingkan (dibagi) dengan nilai standar, dalam hal ini alternatif ideal sering digunakan sebagai nilai standar bobot, Bobot untuk atribut manfaat berfungsi sebagai pangkat positif dalam proses perkalian antar atribut, sementara bobot berfungsi sebagai pangkat negatif.
Langkah-langkah dalam menggunakan metode weighted product adalah :
Metode Weighted Product menggunakan perkalian untuk menghubungkan rating atribut, dimana rating setiap atribut harus dipangkatkan terlebih dahulu dengan bobot atribut yang bersangkutan. Proses ini sama halnya dengan proses normalisasi.
Proses normalisasi bobot kriteria (W), ΣW = 1 adalah :

Keterangan :
Wj : Bobot atribut
ΣWj : Penjumlahan bobot atribut

Keterangan :
S : menyatakan alternatif yang dianalogikan sebagai vektor S
x : menyatakan nilai kriteria
w : menyatakan bobot kriteria
i : menyatakan alternatif
j : menyatakan kriteria
n : menyatakan banyaknya kriteria

atau

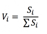
Keterangan :
V : menyatakan alternatif yang dianalogikan sebagai vektor V
x : menyatakan nilai kriteria
w : menyatakan bobot kriteria
i : menyatakan alternatif
j : menyatakan kriteria
n : menyatakan banyaknya kriteria